Onderzoek naar hoe het lichaam omgaat met geneesmiddelen heet farmacokinetiek. Letterlijk uit het Grieks betekent dit ‘beweging van het geneesmiddel’ (door het lichaam). Dat onderzoek is gestart met de benoeming van de Leidse hoogleraar Douwe Breimer in 1974 en de formule is aangebracht ter gelegenheid van zijn 80e verjaardag in 2023. Hij is ook de oprichter van CHDR, een inmiddels gerenommeerd Leids onderzoeksinstituut naar nieuwe geneesmiddelen dat de hoofdsponsor is van de muurschildering.
Wat gebeurt er met een pil nadat je hem inslikt?
De tablet valt uit elkaar
Een tablet paracetamol bevat 500 mg van de stof. Dat lijkt misschien niet heel veel. Als je zo’n tablet inslikt valt hij uit elkaar in de maag en de actieve stof lost langzaam op. In die ene dosis van 500 mg zitten een onvoorstelbaar groot aantal paracetamol moleculen: ongeveer 2.000.000.000.000.000.000.000! (2 met 21 nullen.) Dat zijn er ongeveer 20 miljoen per cel in het lichaam! Dus eigenlijk voor alle middelen die we innemen geldt dat je een heleboel moleculen naar binnen werkt. Gelukkig zijn ze erg klein. Deze moleculen zitten eerst in je maag en komen ook vervolgens in je darmen terecht.
De moleculen worden opgenomen
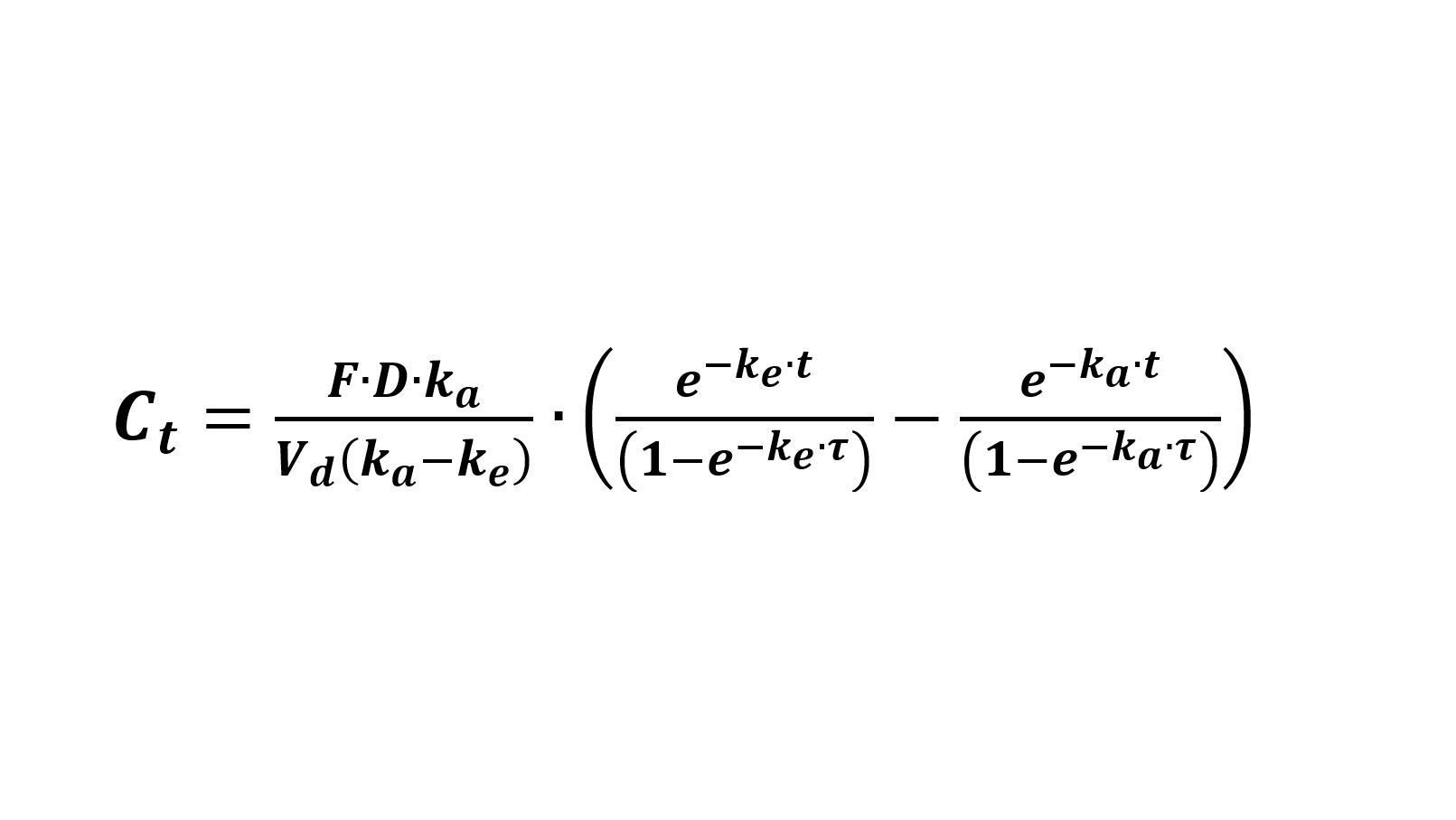
De moleculen passeren vervolgens de wand van de darm en komen in de bloedbaan. De hoeveelheid geneesmiddel in het bloed gaat dus omhoog. Maar op een gegeven moment zijn alle moleculen die er waren, opgenomen. De maximale dosis zit dan in het lichaam. Daarnaast is het lichaam ondertussen druk bezig om die vreemde stoffen er weer uit te halen. Dit gebeurt met name in de lever en in de nier. Gelukkig maar, want we krijgen niet alleen vreemde moleculen uit pillen binnen, maar ook vooral uit ons voedsel en dranken en anders zouden we langzaam vergiftigd worden. De opname gaat volgens bepaalde wetten die we kunnen uitdrukken in wiskundige formules. In de formule zie je D (de dosis) en F (het gedeelte (of percentage) van de dosis dat wordt opgenomen) en ka dat staat voor de snelheid van opname.
De moleculen worden over het lichaam verdeeld
Aan het middel in je bloedbaan heb je meestal niks, het probleem van de meeste ziektes zit meestal ergens anders in het lichaam. De moleculen kunnen overal komen, maar op sommige plekken beter dan andere. Zo zijn onze hersenen goed beschermd tegen vreemde stoffen. Toch zijn er zoveel van de moleculen dat ze meestal wel ergens op de goede plek komen. We meten dat allemaal in het bloed, dat is nou eenmaal het makkelijkst om te pakken te krijgen met een simpel prikje. Hoe het middel zich over het lichaam verdeelt kunnen we ook beschrijven met wiskundige formules. Ieder geneesmiddel verdeelt zich anders. In de formule zie je Vd. Dit wordt het verdelingsvolume genoemd. Het geeft aan hoeveel van het geneesmiddel dat in het lichaam zit, terug te vinden is in het bloed. Zo berekenen we door de hoeveelheid te bepalen in het bloed, ook ongeveer hoeveel er in de rest van het lichaam zit. Zo kan ook bepaald worden of de dosis van een geneesmiddel te laag of te hoog is.
Het lichaam werkt ze er weer uit
Terwijl de moleculen in het lichaam zitten, proberen belangrijke organen deze weer af te breken (met name de lever) of uit het lichaam te krijgen (zoals de nieren). Er zijn geneesmiddelen die er maanden over doen voordat ze het lichaam weer uit zijn en bij anderen duurt het soms maar een paar minuten. In de formule staat daarvoor de constante ke: de snelheid (of tijd) waarmee het wordt afgebroken. Deze tijd is belangrijk, want als het geneesmiddel dagelijks moet worden ingenomen, dan moet wel bekend zijn hoeveel er nog in het lichaam aanwezig is voordat de volgende dosis wordt ingenomen. Anders stapelt het geneesmiddel zich op, wat kan leiden tot bijwerkingen. Als het lichaam dus langzaam geneesmiddelen afbreekt, zal je dus ook minder van het geneesmiddel dagelijks te hoeven nemen, of minder vaak in te hoeven nemen.
De formule

Al het voorgaande levert dan de formule op die op de muur staat. In de muurformule moet je voor een bepaald geneesmiddel constanten invullen die aangeven:
hoe snel het opgenomen wordt (ka),
hoe het zich verdeelt over het lichaam (Vd),
hoe snel het er weer uitgaat (ke).
Met die constanten kan je de hoeveelheid (of concentratie) van het geneesmiddel (C) in het bloed op ieder tijdstip (t) na doseren uitrekenen. Ook op het moment dat je de volgende dosis geeft en daarna.
Zo bepalen we van een nieuw geneesmiddel hoeveel de dosis is en hoe vaak je die moet innemen om de hoeveelheid in het lichaam niet te laag en niet te hoog te maken. Uiteraard kan het nog een stuk ingewikkelder en onderzoekers op het BioSciencepark in Leiden werken daaraan, zoals bij het LACDR (www.lacdr.nl), LUMC (www.lumc.nl) en CHDR (www.chdr.nl).
Meer weten?
Op www.trc-p.nl vind je verdere (Engelse) uitleg over wat het lichaam met geneesmiddelen doet en wat geneesmiddelen daarna met het lichaam doen.
